【中心科研】MedComm | 中山三院王辉教授团队证实甘油三酯-葡萄糖指数(TyG 指数)可预测冠心病患者卒中与全因死亡风险
2025年10月09日,中山大学附属第三医院神经外科王辉教授(最后通讯作者)的团队,研究成果以 “Association of the Triglyceride-Glucose Index With Stroke and All-Cause Mortality in Patients With Coronary Artery Disease: A Nationwide Cohort Study From 1999 to 2018” 为题,在线发表于国际权威期刊MedComm(中科院一区,JCR Q1,影响因子 10.8)。

图1:研究论文在国际权威期刊《MedComm》(中科院一区,JCR Q1,影响因子 10.8)上在线发表。
该队列研究关键发现:TyG 指数与卒中、全因死亡(ACM)存在非线性关联,阈值效应显著。
该研究最终纳入 809 例冠心病(CAD)患者,通过 TyG 指数(计算公式:ln [空腹甘油三酯(mg/dL)× 空腹血糖(mg/dL)/2])分层分析与多变量回归模型,揭示了三大核心结论:
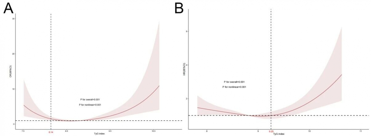
01卒中风险:TyG 指数呈 “U 型” 关联,阈值为 8.14
研究发现,TyG 指数与冠心病患者卒中风险并非简单线性关系,而是呈现显著 “U 型” 曲线(p<0.001),拐点位于 8.14。
当 TyG 指数低于 8.14 时:每升高 1 个单位,卒中风险降低 98%(OR=0.02,95% CI:0.003-0.07,p<0.001);
当 TyG 指数高于 8.14 时:每升高 1 个单位,卒中风险骤增 193%(OR=2.93,95% CI:1.96-4.39,p<0.001)。此外,在调整年龄、体重指数(BMI)、吸烟、饮酒等混杂因素后,TyG 指数最高四分位组(Q4:9.28-11.46)患者的卒中风险是最低四分位组(Q1:6.85-8.41)的 2.66 倍(95% CI:1.47-4.76,p<0.05),进一步证实高 TyG 指数是卒中的独立危险因素。
02全因死亡风险:TyG 指数呈 “J 型” 关联,阈值为 9.25
在中位随访 103 个月的过程中,共记录 332 例全因死亡事件。分析显示,TyG 指数与全因死亡风险呈 “J 型” 关联(p<0.001),拐点为 9.25:
当 TyG 指数低于 9.25 时:每升高 1 个单位,全因死亡风险降低 27%(HR=0.73,95% CI:0.53-0.99,p=0.042);
当 TyG 指数高于 9.25 时:每升高 1 个单位,全因死亡风险激增 158%(HR=2.58,95% CI:1.63-4.07,p<0.001)。亚组分析进一步发现,在≥55 岁的冠心病患者中,高 TyG 指数与全因死亡风险的关联更为显著(HR=2.15,95% CI:1.12-4.12,p<0.05),提示老年患者需重点关注 TyG 指数变化。

图2:甘油三酯-葡萄糖(TyG)指数与冠心病患者健康风险的关联趋势。
03高风险人群明确:糖尿病、高血压、吸烟 / 饮酒者需警惕
分层分析还识别出 TyG 指数影响卒中风险的高敏感人群:
糖尿病患者:TyG 指数与卒中风险关联最强(OR=5.21,95% CI:3.15-8.63,p<0.05);
高血压患者:TyG 指数每升高 1 个单位,卒中风险增加 33%(OR=1.33,95% CI:1.05-1.81,p<0.05);
吸烟或饮酒者:TyG 指数升高同样显著增加卒中风险(吸烟:OR=1.69,95% CI:1.23-2.31;饮酒:OR=1.67,95% CI:1.03-2.94,均 p<0.05)。这一结果提示,针对合并代谢异常或不良生活习惯的冠心病患者,监测 TyG 指数可能具有更高的临床价值。
临床意义:TyG 指数或成冠心病患者风险分层的 “简易工具”。

图3:探究甘油三酯-葡萄糖(TyG)指数对不同特征冠心病患者卒中和全因死亡风险影响的差异亚组分析。
相较于传统风险指标,TyG 指数具有两大优势:一是计算简便,仅需常规检测的空腹甘油三酯与血糖数据,无需额外检查;二是成本低廉,适合基层医疗机构与大规模人群筛查。本研究证实,TyG 指数可作为冠心病患者卒中与全因死亡风险的 “预警信号”,尤其当指数超过 8.14(卒中阈值)或 9.25(全因死亡阈值)时,临床需及时介入,通过控制血糖、血脂、改善生活方式等手段降低风险。
此外,该研究还补充了既往研究的空白:此前多数研究聚焦于普通人群或糖尿病患者,而本研究首次在冠心病患者中明确 TyG 指数与结局的非线性关联,纠正了 “TyG 指数越高风险越高” 的线性认知,为精准风险分层提供了更细致的依据。
总结
中山大学附属第三医院神经外科王辉教授团队的这项研究,通过大样本队列分析证实:甘油三酯 - 葡萄糖指数(TyG 指数)与冠心病患者的卒中风险呈 “U 型” 关联(阈值 8.14),与全因死亡风险呈 “J 型” 关联(阈值 9.25)。这一发现提示,TyG 指数有望成为冠心病患者临床风险评估的简便、可靠指标,为制定个性化预防与治疗策略提供重要参考,最终助力改善患者预后、减轻心血管疾病的社会负担。

图4:甘油三酯-葡萄糖指数(TyG 指数)与冠心病患者卒中及全因死亡风险的关联逻辑摘要图。
第一作者

通讯作者
